Disponible avec une licence Spatial Analyst.
L’outil Densité du noyau spatio-temporel étend les calculs de densité du noyau, qui permettent non seulement d’analyser la magnitude et la position relative des entités en entrée, mais incluent également d’autres dimensions comme le temps et la profondeur (élévation). La sortie obtenue identifie la zone de magnitude par unité à l’aide des fonctions de noyau pour ajuster une surface effilée régulière à chaque point en entrée.
Comparaison à d’autres outils de densité
L’analyse de densité est essentielle à certaines analyses spatiales et géostatistiques. Voici quelques exemples :
- Études démographiques
- Recherche sur la résilience, l’exposition et la concentration
- Élaboration de politiques visant à déterminer les besoins en services spécifiques d’une localisation ou d’une communauté donnée, tels que structures de soins, services d’urgence, infrastructures et réseaux routiers
D’autres outils de calcul de densité sont également disponibles, notamment Densité du noyau, Densité de points et Densité de lignes. Ces outils calculent la densité des entités (ponctuelles ou linéaires) dans leur voisinage, mais ne prennent pas en compte d’autres dimensions.
L’outil Densité du noyau spatio-temporel analyse la densité des événements ou incidents qui se produisent à la fois dans l’espace et dans le temps, et tient en plus compte de l’élévation. En incorporant l’élévation et le temps à l’équation, l’outil offre une meilleure compréhension des distributions spatiales et temporelles, ainsi que des modèles et des tendances du phénomène analysé.
Principaux avantages de l’outil Densité du noyau spatio-temporel
L’outil Densité du noyau spatio-temporel combine le concept d’estimation de la densité du noyau à celui d’analyse temporelle pour offrir une compréhension exhaustive des modèles. Parmi les possibilités supplémentaires qu’offre cet outil par rapport à d’autres formes d’estimation de la densité, notons :
- Analyse des dimensions spatiales et temporelles des événements simultanément à des élévations différentes. Offre une compréhension plus globale des modèles et aide à identifier les zones avec concentrations faibles ou élevées d’événements au fil du temps, des espaces et des élévations.
- Prise en compte de l’aspect temporel dans l’analyse des changements de densité des événements au fil du temps. Particulièrement utile pour l’étude des phénomènes dynamiques, comme les modèles de criminalité, les épidémies ou les flux de transports.
- Prise en compte simultanée de l’élévation et de l’aspect temporel dans l’analyse des changements de densité des événements au fil du temps à des élévations différentes. Particulièrement utile pour l’étude des phénomènes dynamiques en géosciences, comme la pression atmosphérique, la densité d’ozone, les polluants, la composition de l’air et de l’eau, la salinité de l’eau, la teneur en oxygène dissous, la conductivité de l’eau, la pression hydraulique et la température.
- Souplesse de sélection des paramètres et notamment du type de noyau, du rayon de recherche (bande passante), de l’élévation et de l’unité temporelle. Permet d’adapter l’analyse aux besoins et caractéristiques des données spécifiques, et conséquemment de produire des résultats plus précis et significatifs.
- Utilisation des fonctionnalités existantes de ArcGIS Pro pour analyser et visualiser les données raster multidimensionnelles et fournir différentes options de visualisation au format Esri Cloud Raster Format (CRF) pour les données multidimensionnelles comme raster en sortie par défaut. Particulièrement utile pour isoler une dimension spécifique ou pour visualiser et identifier des points chauds, des tendances et des modèles au sein des données au fil du temps, et conséquemment d’améliorer la prise de décision et la compréhension des relations spatio-temporelles.
Cet outil offre une compréhension plus nuancée des modèles d’événements. Son application est possible dans de nombreux champs, notamment l’analyse de la criminalité, la cartographie des maladies, la planification des transports, la surveillance environnementale, et les sciences océanographiques et atmosphériques. Ses capacités d’analyser à la fois l’espace et le temps en font un outil polyvalent pour la compréhension des phénomènes complexes. Cependant, ses avantages et son adéquation spécifiques peuvent varier avec la nature des données et les objectifs de l’analyse.
Calcul de la densité du noyau spatio-temporel
L’outil Densité du noyau spatio-temporel utilise des entités ponctuelles et des données temporelles et d’élévation pour calculer la densité du noyau des entités ponctuelles autour de chaque cellule raster en sortie.
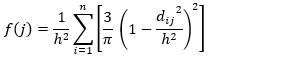
Théoriquement, une surface uniformément incurvée passe par chaque point. La technique est similaire au fonctionnement de l’outil Densité du noyau en ce qui concerne les points en entrée. La valeur de la surface est au plus haut à la localisation du point et continue de diminuer à mesure que l’on s’en éloigne, jusqu’à atteindre zéro à la valeur de la distance du paramètre Rayon de recherche à partir du point. Comme les données en entrée sont de type point, seul un voisinage circulaire est possible. Le volume sous la surface est égal à la valeur du paramètre Champ de population pour le point, ou à la valeur 1 si le paramètre AUCUN est indiqué. La densité à chaque cellule raster en sortie est calculée par l’addition des valeurs de toutes les surfaces de noyau où elles se superposent au centre de la cellule raster. La fonction Densité de noyau est basée sur la fonction de noyau quartique décrite par Silverman (1986, p. 76, équation 4.5).
La formule est la suivante :

Où :
- i = 1,…,n sont les points en entrée.
- f(j) est la densité au centre de chaque cellule.
- dij est la distance entre le point de l’incident et le centre de la cellule.
- h est le rayon de recherche.
Si un autre paramètre que AUCUN est utilisé pour le Champ de population, la valeur de chaque élément détermine le nombre de comptabilisations du point. Par exemple, avec la valeur 3, le point compte pour trois points. Les valeurs peuvent être entières ou à virgule flottante.
Par défaut, une unité est sélectionnée en fonction de l’unité linéaire de la définition de la projection des données des entités ponctuelles en entrée ou telle qu’elle est spécifiée dans le paramètre d’environnement Output Coordinate System (Système de coordonnées en sortie).
Si un facteur de paramètre Unités de surface en sortie est sélectionné, la densité calculée pour la cellule est multipliée par le facteur correspondant avant d’être écrite dans le raster en sortie. Par exemple, si les unités en entrée sont des mètres, les unités de surface en sortie sont par défaut des kilomètres carrés. La comparaison d’un facteur d’échelle d’unité de mètres aux kilomètres entraîne une différence entre les valeurs en raison de l’application d’un multiplicateur de 1 000 000 (1 000× 1 000 mètres).
Prédire la densité à une localisation
La densité prévue à un nouvel emplacement (x,y) est déterminée par la formule suivante :

Où :
- i = 1,…,n sont les points en entrée. Pour disti < radius, il convient d’inclure dans la somme uniquement des points situés dans le rayon de l’emplacement (x,y).
- popi correspond à la valeur du champ de population du point i. Ce paramètre est facultatif.
- disti désigne la distance entre le point i et l’emplacement (x,y).
- radius est le rayon de recherche défini autour de l’emplacement (x,y).
La densité calculée est ensuite multipliée par le nombre de points ou par la somme du champ de population le cas échéant. Cette correction rend l’intégrale spatiale égale au nombre de points (ou à la somme du champ de population), alors qu’elle est habituellement égale à 1. Cette implémentation utilise un noyau quartique, comme décrit par Silverman (1986). La formule est calculée pour chaque localisation où vous souhaitez estimer la densité. Étant donné qu’un raster est créé, les calculs sont appliqués au centre de chaque cellule du raster en sortie.
Temps et élévation
On peut calculer l’évolution de la densité dans le temps, selon l’élévation ou pour ces deux dimensions. Utilisez la dimension temporelle pour analyser l’évolution des modèles et des tendances dans le temps sur une plage temporelle donnée. Utilisez la dimension d’élévation pour prendre en compte l’influence de la topographie sur la distribution des événements.
Les sections ci-après contiennent des informations supplémentaires sur les paramètres de ces dimensions et les formules utilisées.
Évolution de la densité du noyau dans le temps à des points (x,y)
Pour inclure la dimension temporelle dans le calcul de cet outil, vous devez établir la date/heure de début, la date/heure de fin et l’intervalle temporel.
Le paramètre Date/heure de début spécifie le début de la période temporelle sur laquelle vous voulez calculer la densité. Ce peut être une date (31/12/2023, par exemple), une heure (15:45:45) ou une date et une heure (31/12/2023 15:45:45). La date/heure de début définit la limite inférieure de la fenêtre horaire de recherche (t_window) du calcul.
Le paramètre Date/heure de fin spécifie la fin de la période temporelle sur laquelle calculer la densité. À l’instar de la date/heure de début, il peut s’agir d’une date ou d’heure spécifique, ou des deux (date et heure). La date/heure de fin définit la limite supérieure de la fenêtre horaire de recherche (t_window) du calcul.
Le paramètre Intervalle temporel spécifie la granularité des intervalles temporels utilisés dans l’analyse. Il spécifie la durée de chaque intervalle temporel, par exemple 1 heure, 1 jour ou 1 mois. L’intervalle temporel divise la plage temporelle qui s’étend entre les dates/heures de début et de fin en segments plus petits pour calculer la densité. L’intervalle peut être exprimé en secondes, minutes, heure, jour ou semaine.
Selon les dates/heures de début et de fin et l’intervalle temporel indiqués, l’outil calcule la densité des événements au sein de chaque intervalle temporel et dans toute la plage temporelle spécifiée. En divisant la plage temporelle qui s’étend entre les dates/heures de début et de fin en segments plus petits en fonction de l’intervalle temporel spécifié, l’outil calcule la densité des événements au sein de chaque intervalle temporel. Cela produit une analyse plus détaillée des variations de densité des événements dans le temps. Par exemple, si l’intervalle temporel est de 1 heure et que la plage temporelle s’étend de 9:00 à 17:00, l’outil calcule la densité des événements pour chaque heure (9:00-10:00, 10:00-11:00, etc.) pour analyser les modèles temporels de l’occurrence des événements.
Pour calculer l’évolution de la densité du noyau au fil du temps à des points (x,y), on utilise un noyau spatial, k(x,y), et un noyau temporel, k(t). Il en résulte la formule de calcul de l’évolution de la densité du noyau suivante :

Où :
- Pour disti < radius, il convient d’inclure dans la somme uniquement des points situés dans le rayon de l’emplacement (x,y).
- Pour ti < t_window, n’incluez le temps dans le calcul que s’il se trouve dans la fenêtre horaire de recherche.
- popi correspond à la valeur du champ de population du point i. Ce paramètre est facultatif.
- disti désigne la distance entre le point i et l’emplacement (x,y).
- radius est le rayon de recherche défini autour de l’emplacement (x,y).
- ti est le temps à chaque intervalle calculé au sein de la fenêtre horaire (t_window).
- t_window est la fenêtre horaire de recherche.
Évolution de la densité du noyau à différentes élévations à des points (x,y)
Les paramètres d’élévation sont utilisés pour analyser la densité des événements ou des phénomènes qui surviennent à la fois dans l’espace et l’élévation. L’outil prend en compte la localisation spatiale des événements, ainsi que l’élévation à laquelle ils se produisent. Pour calculer la dimension d’élévation dans cet outil, vous devez spécifier trois paramètres : élévation minimale, élévation maximale et intervalle d’élévation.
Le paramètre Élévation minimale spécifie la valeur d’élévation la plus basse dans la plage des élévations que vous voulez prendre en compte dans le calcul de la densité. Elle définit la limite inférieure de la plage d’élévations de l’analyse.
Le paramètre Élévation maximale spécifie la valeur d’élévation la plus haute dans la plage des élévations que vous voulez prendre en compte. À l’instar de l’élévation minimale, elle définit la limite supérieure de la plage d’élévations de l’analyse.
Le paramètre Intervalle d’élévation spécifie la granularité des intervalles d’élévation utilisés dans l’analyse. Il indique la longue de chaque intervalle d’élévation, par exemple 100 mètres, 500 mètres ou 1 kilomètre. L’intervalle d’élévation divise la plage d’élévations qui s’étend entre les élévations minimale et maximale en segments plus petits pour calculer la densité.
En spécifiant l’élévation minimale, l’élévation maximale et l’intervalle d’élévations, l’outil calcule la densité des événements au sein de chaque intervalle d’élévation et dans toute la plage d’élévations spécifiée.
Pour calculer l’évolution de la densité du noyau à différentes élévations à des points (x,y), on utilise un noyau spatial, k(x,y), et un noyau d’élévation, k(t). Il en résulte la formule de calcul de l’évolution de la densité du noyau suivante :

Où :
- Pour disti < radius, il convient d’inclure dans la somme uniquement des points situés dans le rayon de l’emplacement (x,y).
- Pour zi < z_distance, n’incluez les points d’élévation dans le calcul que s’ils se trouvent dans le rayon de recherche pour l’élévation.
- popi correspond à la valeur du champ de population du point i. Ce paramètre est facultatif.
- disti désigne la distance entre le point i et l’emplacement (x,y).
- radius est le rayon de recherche défini autour de l’emplacement (x,y).
- zi est l’élévation à chaque intervalle calculé au sein de la fenêtre d’élévation.
- z_distance est le rayon de recherche pour l’élévation.
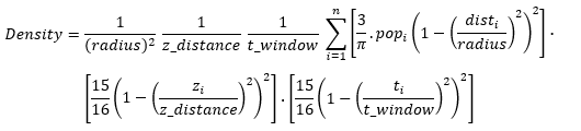
Évolution de la densité du noyau dans le temps et à différentes élévations à des points (x,y)
La densité du noyau peut être analysée en fonction des deux dimensions, temporelle et d’élévation. Pour ce faire, vous devez spécifier six paramètres : élévation minimale, élévation maximale, intervalle d’élévation, date/heure de début, date/heure de fin et intervalle temporel.
Pour calculer l’évolution de la densité du noyau au fil du temps et à différentes élévations à des points (x,y), on applique la formule suivante :

Où :
- Pour disti < radius, il convient d’inclure dans la somme uniquement des points situés dans le rayon de l’emplacement (x,y).
- Pour zi < z_distance, n’incluez les points d’élévation dans le calcul que s’ils se trouvent dans le rayon de recherche pour l’élévation.
- Pour ti < t_window, n’incluez le temps dans le calcul que s’il se trouve dans la fenêtre horaire de recherche.
- popi correspond à la valeur du champ de population du point i. Ce paramètre est facultatif.
- disti désigne la distance entre le point i et l’emplacement (x,y).
- radius est le rayon de recherche défini autour de l’emplacement (x,y).
- zi est l’élévation à chaque intervalle calculé au sein de la fenêtre d’élévation.
- z_distance est le rayon de recherche pour l’élévation.
- ti est le temps à chaque intervalle calculé au sein de la fenêtre horaire (t_window).
- t_window est la fenêtre horaire de recherche.
Paramètres de la fenêtre de recherche
Le rayon de recherche (appelé bande passante dans l’outil Densité du noyau) détermine l’étendue ou la portée de l’influence de chaque événement sur le calcul de la densité. Il joue un rôle crucial pour définir la portée spatiale et temporelle de l’analyse. Pour plus d’informations, reportez-vous à la rubrique Rayon de recherche par défaut (bande passante) dans l’aide de l’outil Densité du noyau.
Dans l’outil Densité du noyau spatio-temporel, vous pouvez spécifier le rayon de recherche séparément pour trois types de dimensions : (x, y), élévation (z) et temps (t).
Rayon de recherche pour x et y
Le paramètre Rayon de recherche (x et y) spécifie la distance à laquelle les événements vont influencer le calcul de la densité dans les dimensions x et y. Le rayon de recherche peut être exprimé dans la même unité que les données en entrée ou dans des unités telles que les mètres, les kilomètres ou les degrés.
Si vous spécifiez un rayon de recherche plus large, la surface de densité sera plus lisse, car les événements plus éloignés d’une localisation donnée exerceront une plus grande influence sur la valeur de la densité.
Rayon de recherche pour l’élévation
Le paramètre Rayon de recherche (x et y) détermine la distance verticale à laquelle les événements vont influencer le calcul de la densité dans les dimensions d’élévation. Il peut être exprimé dans des unités telles que des mètres ou des pieds, ou dans les mêmes unités d’élévation que les données en entrée.
De même qu’avec le rayon de recherche x et y, si vous spécifiez un rayon de recherche d’élévation plus large, la surface de densité sera plus lisse, car les événements survenant à des distances verticales plus grandes d’une localisation donnée exerceront une plus grande influence sur la valeur de la densité.
Rayon de recherche pour le temps
Le paramètre Fenêtre horaire de recherche (t) définit l’étendue temporelle dans laquelle les événements vont influencer le calcul de la densité. Il peut être exprimé dans des unités telles que des heures, des jours ou des mois. La fenêtre horaire définit une durée autour de chaque événement et les événements qui surviennent pendant cette durée sont inclus dans le calcul de densité à une localisation et un moment donnés.
Détail et lissage du résultat
En ajustant les valeurs de rayon de recherche dans l’onglet des paramètres du noyau, vous pouvez contrôler le niveau de détail et le lissage du résultat de surface de densité. Un petit rayon de recherche, ou bande passante, va capturer des modèles plus localisés, tandis qu’un grand rayon de recherche va saisir des modèles et des tendances plus larges.
Il faut réfléchir attentivement aux caractéristiques des données et aux objectifs de l’analyse pour pouvoir sélectionner les valeurs appropriées de rayon de recherche, ou bande passante. Pour vous aider à trouver les paramètres les plus adéquats à votre analyse spécifique, vous pouvez faire des essais avec différentes valeurs et voir les surfaces de densité qui en résultent.
Calcul du rayon de recherche
L’algorithme permettant de déterminer le rayon de recherche par défaut procède de la façon suivante :
- Calculez le centre moyen des points en entrée. Si un champ de population a été fourni, ce calcul et tous les calculs suivants sont pondérés par les valeurs de ce champ.
- Il calcule la distance à partir du centre moyen pondéré de tous les points.
- Il calcule la médiane pondérée de ces distances, Dm.
- Il calcule la distance standard pondérée, SD.
Remarque :
Pour plus d’informations sur le calcul de la distance standard, reportez-vous à Fonctionnement de l’outil Distance standard dans la boîte à outils Statistiques spatiales.
Le rayon de recherche par défaut pour (x,y) est déterminé par la formule suivante :

Où :
- SD représente la distance standard.
- Dm représente la distance médiane (pondérée) à partir du centre moyen (pondéré).
- n représente le nombre de points si aucune valeur de paramètre Champ de population n’est spécifiée. Si une valeur de paramètre Champ de population est fournie, n est la somme des valeurs du champ.
Le rayon de recherche par défaut pour l’élévation (z_distance) et la fenêtre horaire (t_window) (x,y) est déterminé par la formule suivante :

Où :
- σz,t est l’écart type dans la distribution de points des dimensions z et t.
- n représente le nombre de points si aucune valeur de paramètre Champ de population n’est spécifiée. Si une valeur de paramètre Champ de population est fournie, n est la somme des valeurs du champ.
- d est la dimension de l’analyse. La valeur par défaut est 1.
Calcul de la distance standard
Deux méthodes permettent de calculer la distance standard : non pondérée et pondérée.
La distance non pondérée est déterminée par la formule suivante :

Où :
- xi,yi et zi sont les coordonnées de l’entité i.
- {x̄, ȳ, z̄} représente le centre moyen des entités.
- n est égal au nombre total d’entités.
La distance pondérée est déterminée par la formule suivante :

Où :
- wi est la pondération à l’entité i .
- xi, yi et zi sont les coordonnées de l’entité i.
- {X̄w, Ȳw, Z̄w} représente le centre moyen pondéré des entités.
Intervalle temporel et d’élévation de raster multidimensionnel
La sortie de l’outil Densité du noyau spatio-temporel est un raster multidimensionnel avec des secteurs individuels pour chaque intervalle temporel et d’élévation. Le nombre total de secteurs du raster en sortie est calculé à l’aide de la formule suivante si à la fois les données temporelles et d’élévation en entrée sont fournies :

Où :
- Zmax est l’élévation maximale.
- Zmin est l’élévation minimale.
- L’intervalle d’élévation est l’intervalle entre les tranches d’élévation du raster multidimensionnel en sortie.
- Tmax est la date/heure de fin.
- Tmin est la date/heure de début.
- L’intervalle temporel est l’intervalle entre les tranches temporelles du raster multidimensionnel en sortie.
Si aucun intervalle n’est défini pour le temps ou l’élévation dans le groupe Output Parameters (Paramètres en sortie), le nombre de tranches par défaut est égal à 20 pour les opérations incluant l’une ou l’autre des variables en entrée. Pour les opérations incluant à la fois le temps et l’élévation, le nombre de tranches par défaut dans le raster en sortie est égal à 400.
Effet des méthodes planaire et géodésique sur la densité
Le calcul de la densité varie selon que vous sélectionnez un système de référence spatiale planaire ou géodésique.
L’option Planaire du paramètre Méthode convient si l’analyse doit être effectuée à une échelle locale avec une projection qui garantit avec précision le maintien des distances et surfaces correctes. Par défaut, l’outil utilise la distance planaire.
L’option Géodésique convient si l’analyse doit être effectuée à une échelle régionale ou plus large, par exemple à l’aide de Web Mercator ou d’un système de coordonnées géographiques. Cette méthode tient compte de la courbure du sphéroïde et gère correctement les données situées près des pôles et la ligne de changement de jour internationale. La méthode géodésique produit toujours une pente plus précise que la méthode planaire, raison pour laquelle nous la recommandons.
La différence entre la distance planaire et la distance géodésique s’accroît proportionnellement avec la distance depuis la source. Si vous utilisez une zone géographique de petite taille (par exemple, une ville ou un comté), la différence entre la distance planaire et la distance géodésique est proportionnellement plus faible que si vous travaillez à l’échelle de tout un pays. Ensemble, l’impact de la taille de la zone d’étude et les distorsions de la projection cartographique peuvent accroître davantage la distorsion. Avec une projection telle que la projection Web Mercator, plus vous vous rapprochez des pôles, plus la zone que vous pouvez analyser avec la même distorsion de distance est petite.
Pour comprendre les différences entre distance planaire et géodésique dans le calcul des distances, reportez-vous à la rubrique Distance géodésique et distance planaire.
Types de densité en sortie
Le paramètre Valeurs obtenues propose deux options pour le calcul et la visualisation des types de densité en sortie : Densités et Volumes attendus.
Si le paramètre Densités est sélectionné, les valeurs de cellule du raster en sortie représentent la valeur de densité calculée par unité de surface.
Si le paramètre Volumes attendus est sélectionné, les valeurs représentent le nombre d’événements par surface de cellule. Les formules utilisées pour calculer les volumes sont les suivantes :
- Avec le rayon sur le plan x,y, Volume = Densité x Surface.
- Avec l’élévation, Volume = Densité x Surface × Intervalle d’élévation.
- Avec le temps, Volume = Densité x Surface × Intervalle temporel.
- Avec le temps et l’élévation, Volume = Densité x Surface × Intervalle d’élévation x Intervalle temporel.
Il est important de souligner que ces formules suppose que la densité est constante au sein des cellules du raster en sortie, de l’intervalle d’élévation et de l’intervalle temporel. Afin de générer des volumes attendus fiables, il faut être très attentif à la sélection des valeurs des paramètres de taille de cellule, d’intervalle d’élévation et d’intervalle temporel.
Applications possibles
Voici quelques applications possibles de cet outil :
- Comprendre la surface des océans et la composition de l’eau au moyen des données d’élévation et temporelles. Examinez par exemple le changement au fil du temps des paramètres tels que la salinité, la température de l’eau ou la teneur en oxygène dissous dans les océans.
- Comprendre les conditions atmosphériques. Examinez par exemple les changements de densité des relevés de particules fines (PM2.5) dans une unité géographique donnée à différents moments du jour ou de l’année.
- Tirer parti des capacités d’exploitation du temps de l’outil pour comprendre les épidémies, la densité des crimes ou la population sans-abri sur différentes périodes.
- Analyser la composition des particules d’air en suspension dans l’atmosphère à différentes localisations et différentes élévations. Examinez par exemple les changements dans la composition des particules fines (PM2.5) au fil du temps pour identifier des modèles et des sources potentielles de pollution atmosphérique.
Ressources supplémentaires
Härdle, W. K., Müller, M, Sperlich, S., and Werwatz, A. Nonparametric and semiparametric models (Vol. 1). Berlin: Springer, 2004.
Hu, Y., Wang, F., Guin, C., and Zhu, H. "A spatio-temporal kernel density estimation framework for predictive crime hotspot mapping and evaluation." Applied geography, 99, 2018, 89-97.
Nakaya, T., and Yano, K. "Visualising crime clusters in a space‐time cube: An exploratory data analysis approach using space time kernel density estimation and scan statistics." Transactions in GIS, 14(3), 2010, 223-239.
Silverman, B. W. Density Estimation for Statistics and Data Analysis. New York: Chapman and Hall, 1986.
Rubriques connexes
- Vue d'ensemble du jeu d'outils Densité
- Comprendre l’analyse de la densité
- Densité du noyau spatio-temporel
- Fonctionnement de l'outil Densité de noyau
- Données raster multidimensionnelles
- Onglet Multidimensional (Multidimensionnel)
- Utiliser des données raster multidimensionnelles
- Analyse multidimensionnelle dans ArcGIS Pro
Vous avez un commentaire à formuler concernant cette rubrique ?