| ラベル | 説明 | データ タイプ |
入力地球統計レイヤー | 解析する地球統計レイヤー。 | Geostatistical Layer |
出力ポイント フィーチャクラス (オプション) | 地球統計レイヤーの各位置における交差検証の統計情報を格納します。 | Feature Class |
派生した出力
| ラベル | 説明 | データ タイプ |
| 個数 | 使用されたサンプルの総数。 | Long |
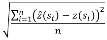
| 平均誤差 | 平均誤差 - 計測値と推定値の差の平均値。 | Double |
| RMS | RMS 誤差 - モデルによる計測値の推定がどれだけ近似しているかを示します。 | Double |
| 平均標準 | 推定標準誤差 - 推定標準誤差の平均値。 | Double |
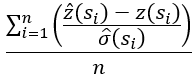
| 標準化平均 | 平均標準誤差 - 標準化された誤差の平均値。 | Double |
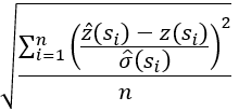
| 標準 RMS | 標準 RMS 誤差 - 推定標準誤差が有効であれば、この値は 1 に近い必要があります。 | Double |
| 90% 区間内の割合 | 90% 区間内の割合 - 90 パーセントの交差検証信頼区間に含まれるポイントの割合。 この値は、90 に近い必要があります。 | Double |
| 95% 区間内の割合 | 95% 区間内の割合 - 95 パーセントの交差検証信頼区間に含まれるポイントの割合。 この値は、95 に近い必要があります。 | Double |
| Average CRPS | 平均 CRPS - すべてのポイントの連続的ランク付け確率スコア (CRPS) の平均値。 CRPS は、各観測データ値に対する推定累積分布関数からの偏差を計測する診断です。 この値は可能な限り小さくする必要があります。 この診断は、単一ポイントの推定ではなく、完全な分布とデータを比較するため、他の交差検証診断よりも優れている点がいくつもあります。 この統計情報の計算にはシミュレーションが含まれるため、単純な式で記述することはできません。 | Double |




