一連のポイントまたはエリアのトレンドを計測する一般的な方法は、X,Y,Z の各方向で個別に標準距離を計算することです。これらの計測により、フィーチャの分布を囲む楕円 (または楕円体) の軸が定義されます。この方法では、平均中心からの X 座標と Y 座標の標準偏差が算出されて、楕円の軸が定義されるため、この楕円は「標準偏差楕円」と呼ばれます。3D では、平均中心からの Z 座標の標準偏差も計算され、結果は「標準偏差楕円体」と呼ばれます。この楕円または楕円体により、フィーチャの分布が引き延ばされて、特定の向きを示しているかどうかを確認できます。
マップにフィーチャを描画することでおおよその向きを把握することもできますが、標準偏差楕円を使用すると、トレンドが明確に示されます。標準偏差楕円は、フィーチャのロケーション、またはフィーチャに関連付けられている属性の影響を受けるロケーションのどちらかを使用して算出できます。後者は、「加重標準偏差楕円」と呼ばれます。
計算
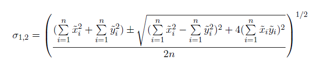
標準偏差楕円は、次のように求められます。
![[分布指向性分析 (Directional Distribution (Standard Deviational Ellipse))] ツールの算術演算 [分布指向性分析 (Directional Distribution (Standard Deviational Ellipse))] ツールの算術演算](GUID-B8FB80BF-7577-4694-9E43-FA0AB67127A8-web.png)
x と y がフィーチャ i の座標の場合、{x̄, ȳ} はフィーチャの平均中心を表し、n はフィーチャの合計数と等しくなります。
サンプルの共分散行列を正規化すると、固有値と固有ベクトルで表現される行列になります。X 軸と Y 軸の標準偏差は、次のようになります。
![[分布指向性分析 (Directional Distribution (Standard Deviational Ellipse))] ツールの算術演算 [分布指向性分析 (Directional Distribution (Standard Deviational Ellipse))] ツールの算術演算](GUID-28F47B03-2C78-4C50-B082-52BC24D82A84-web.png)
これらの方程式は、3 次元データのソリューションにも拡張できます。
分散の縮尺は、必要な割合のデータ ポイントを含む楕円または楕円体を作成するために、調整係数によって設定されます。これらの調整係数は、以下の表で指定されます。
| 1 次元データ | 2 次元データ | 3 次元データ | |
|---|---|---|---|
1 標準偏差 | 1.00 | 1.41 | 1.73 |
2 標準偏差 | 2.00 | 2.83 | 3.46 |
3 標準偏差 | 3.00 | 4.24 | 5.20 |
固有値と固有ベクトルの詳細については「その他のリソース」をご参照ください。
出力と解釈
標準偏差は、データの分散や拡散を理解するのに役立ちます。1 次元のデータを操作するとき、3 シグマ ルールは、平均値に対する 1、2、3 の標準偏差内にあるデータ値の割合を示す一般的な方法です。これは、正規分布において、データ値の 68%、95%、99.7% が、それぞれ 1、2、3 の標準偏差内に存在することを意味します。ただし、これより次元が高い空間データ (X,Y,Z 変数) を操作する場合、この割合の内訳が同じになることは滅多にありません。レーリー分布から導かれるより適切な目安としては、2 次元 (X および Y) において、1 標準偏差楕円ポリゴンでフィーチャの約 63 パーセントがカバーされ、2 標準偏差でフィーチャの約 98 パーセントがカバーされ、3 標準偏差でクラスター内のフィーチャの約 99.9 パーセントがカバーされます。同様に、3 次元 (X,Y,Z) の場合、結果は 61-99-100 パーセント ルールに従います。
2 次元データの場合、[分布指向性分析 (Directional Distribution (Standard Deviational Ellipse))] ツールは、すべてのフィーチャ ([ケース フィールド] の値が指定されている場合はすべてのケース) の平均中心を中心とする楕円ポリゴンが含まれる新しいフィーチャクラスを作成します。これらの出力楕円ポリゴンの属性値には、2 つの標準距離 (長軸と短軸)、楕円の向き、およびケース フィールド (指定されている場合) が含まれます。楕円の向きは、時計回りに正午の位置から計測される長軸の回転を表します。また、表示する標準偏差の数 (1、2、または 3) を指定することもできます。
3 次元ポイント データ (Z 対応で高度のような 3D 属性情報を含むデータ) の場合、このツールは、すべてのフィーチャ ([ケース フィールド] の値が指定されている場合はすべてのケース) の平均中心を中心とする楕円体マルチパッチが含まれる新しいフィーチャクラスを作成します。これらの出力楕円体の属性値には、3 つの標準距離 (長軸、短軸、高さ軸)、楕円体の角度、傾き、ロールに関する情報、およびケース フィールド (指定されている場合) が含まれます。楕円体の角度、傾斜、ロールの値はオイラー角で、3D 空間における楕円体の方向を記述します。また、表示する標準偏差の数 (1、2、または 3) を指定することもできます。
![[分布指向性分析 (Directional Distribution)] ツールの図 [分布指向性分析 (Directional Distribution)] ツールの図](GUID-593B7842-8901-4616-AD60-0ADF9EC43835-web.gif)
適用例
- 一連の犯罪の分布トレンドをマッピングすることにより、特定の物理フィーチャ (飲食店街や特定の大通りなど) とのリレーションシップを把握することができます。
- 特定の汚染物質の地下水井戸サンプルをマッピングすることにより、毒素がどのように拡散しているかを把握し、これに基づいて抑止作戦を展開することができます。
- さまざまな人種または民族グループの楕円のサイズ、形状、および重なりを比較することにより、人種的または民族的な分離を把握することができます。
- 感染症の発生を示す楕円を時系列的にプロットすることで、その拡散をモデリングすることができます。
- 特定のカテゴリの暴風について高度の分布を調べることは、大気の状態と航空機事故の関係を調査する際に役立つ検討要素です。
参考資料
Chew, Victor 『Confidence, prediction, and tolerance regions for the multivariate normal distribution』 Journal of the American Statistical Association 61.315 (1966): 605-617.
Fisher, N. I., T. Lewis, and B. J. J. Embleton 『Statistical Analysis of Spherical Data. 1st ed』 Cambridge University Press. 1987. Cambridge Books Online. Web. 26 April 2016.
Levine, Ned 『CrimeStat III: a spatial statistics program for the analysis of crime incident locations (version 3.0)』 Houston (TX): Ned Levine & Associates/Washington, DC: National Institute of Justice (2004).
Mitchell, Andy 『The ESRI Guide to GIS Analysis, Volume 2』ESRI Press, 2005
Wang, Bin, Wenzhong Shi, and Zelang Miao. (2015)『Confidence Analysis of Standard Deviational Ellipse and Its Extension into Higher Dimensional Euclidean Space』 PLoS ONE 10(3), e0118537.