测量一组点或区域的趋势的一种常用方法便是分别计算 x、y 和 z 方向上的标准距离。这些测量值可用于定义一个包含所有要素分布的椭圆(或椭圆体)的轴。由于该方法是由平均中心作为起点对 x 坐标和 y 坐标的标准差进行计算,从而定义椭圆的轴,因此该椭圆被称为标准差椭圆。在 3D 中,还计算由平均中心作为起点 z 坐标的标准差,计算结果被称为标准差椭圆体。利用该椭圆或椭圆体,您可以查看要素的分布是否为狭长形,且是否因此具有特定方向。
正如通过在地图上绘制要素您可以感受到要素的方向性一样,计算标准差椭圆则可使这种趋向变得更为明确。您可以根据要素的位置点或受与要素关联的某个属性值影响的位置点来计算标准差椭圆。后者称为加权标准差椭圆。
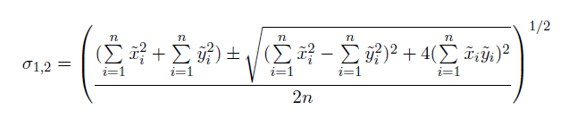
计算
标准差椭圆如下所示:

其中 x 和 y 是 i要素的坐标,{x̄, ȳ} 表示要素的平均中心,n 为要素总数。
样本协方差矩阵被分解为标准形式,使得矩阵可由本征值和特征向量来表示。于是,x 和 y 轴的标准差为:

这些方程式也可扩展到三维数据的解。
方差由调整因子进行衡量,以便生成含有所需数据点百分比的椭圆或椭圆体。下表中列出了这些调整因子。
| 一维数据 | 二维数据 | 三维数据 | |
|---|---|---|---|
1 标准差 | 1.00 | 1.41 | 1.73 |
2 标准差 | 2.00 | 2.83 | 3.46 |
3 标准差 | 3.00 | 4.24 | 5.20 |
如果您想了解更多关于本征值和特征向量的内容,请查阅 其他资源。
输出和解释
标准差帮助您了解数据的分散或分布。当运用一维数据时,3σ 准则是常见的经验法则,该法则传达的内容是一定百分比的数据值将落在平均值的一、二和三个标准差内。在正态分布中,这意味着 68%、95% 和 99.7%的数据值将分别落在一、二和三个标准差之内。然而,当处理更高维数的空间数据(x、y 和 z 变量)时,这种百分比细分很少见。从瑞利分布得到的一个更适用的经验法则指出:在二维坐标系中(x 和 y),一个标准差椭圆将大约覆盖 63% 的要素;两个标准差将大约覆盖 98% 的要素;三个标准差将大约覆盖 99.9% 的要素。同样,对于三维坐标系的情形(x、y 和 z),对应的结果将分别是 61%、99% 和 100%。
对于二维数据来说,方向分布(标准差椭圆)工具会创建一个新要素类,其中包含一个以所有要素的平均中心为中心的椭圆面(或如果为案例分组字段指定了值,则为所有案例)。这些输出椭圆面的属性值包括两个标准距离(长轴和短轴)、椭圆的方向和案例分组字段(如指定)。方向表示从顶点开始按顺时针进行测量的长轴的旋转。您还可以指定要表示的标准差数(1、2 或 3)。
对于三维点数据(您的数据启用了 z 值,且包含 3D 属性信息,如高程)来说,该工具会创建一个新要素类,其中包含一个以所有要素的平均中心为中心的椭圆多面体(或如果为案例分组字段指定了值,则为所有案例)。... 这些输出椭圆体的属性值包括三个标准距离(长轴、短轴和高度轴);有关椭圆体的角度、倾斜度和滚动的信息;以及案例字段(如指定)。椭圆体的角度、倾斜度和滚动值称作欧拉角,它们用来描述椭圆体在 3D 空间中的方位。您还可以指定要表示的标准差数(1、2 或 3)。

潜在的应用
- 在地图上标示一组犯罪行为的分布趋势可以确定该行为与特定要素(一系列酒吧或餐馆、某条特定街道等)的关系。
- 在地图上标示地下水井样本的特定污染可以指示毒素的扩散方式,这在部署减灾策略时非常有用。
- 对各个种族或民族所在区域的椭圆的大小、形状和重叠部分进行比较可以提供与种族隔离或民族隔离相关的深入信息。
- 绘制一段时间内疾病爆发情况的椭圆可建立疾病传播的模型。
- 当调查大气状况和飞行事故间的关联时,检查某一类暴风的高程分布是需要考虑的一个有用因素。
其他资源
Chew, Victor. "Confidence, prediction, and tolerance regions for the multivariate normal distribution." Journal of the American Statistical Association 61.315 (1966): 605-617.
Fisher, N. I., T. Lewis, and B. J. J. Embleton. Statistical Analysis of Spherical Data. 1st ed. Cambridge: Cambridge University Press, 1987. Cambridge Books Online. Web. 26 April 2016.
Levine, Ned. "CrimeStat III: a spatial statistics program for the analysis of crime incident locations (version 3.0)." Houston (TX): Ned Levine & Associates/Washington, DC: National Institute of Justice (2004).
Mitchell, Andy. The ESRI Guide to GIS Analysis, Volume 2. ESRI Press, 2005.
Wang, Bin, Wenzhong Shi, and Zelang Miao. (2015) Confidence Analysis of Standard Deviational Ellipse and Its Extension into Higher Dimensional Euclidean Space. PLoS ONE 10(3), e0118537.