Disponible avec une licence Spatial Analyst.
Disponible avec une licence 3D Analyst.
Le krigeage est une procédure géostatistique avancée qui génère une surface estimée à partir d’un ensemble dispersé de points avec des valeurs z. Contrairement à d’autres méthodes du jeu d’outils Interpolation, utiliser l’outil Krigeage implique d’analyser, de manière interactive, le comportement spatial du phénomène représenté par les valeurs z avant de sélectionner la meilleure méthode d’estimation pour la génération de la surface en sortie.
Qu'est-ce que le krigeage ?
Les outils d’interpolation IDW (Pondération par l’inverse de la distance) et Spline sont considérés comme des méthodes d’interpolation déterministe, car ils sont directement basés sur des valeurs relevées avoisinantes ou des formules mathématiques spécifiques qui déterminent le lissé de la surface résultante. La seconde famille de méthodes d’interpolation comprend les techniques géostatistiques (telles que le krigeage) qui sont basées sur des modèles statistiques comprenant l’autocorrélation, c’est-à-dire les relations statistiques entre les points mesurés. Par conséquent, les techniques géostatistiques ont non seulement la capacité de produire une surface de prévision, mais elles peuvent aussi fournir des mesures quant à la certitude ou l'exactitude de ces prévisions.
L’outil Krigeage présuppose que la distance ou la direction liant les points d’échantillonnage reflète une corrélation spatiale pouvant expliquer les variations de la surface. L’outil Krigeage applique une fonction mathématique à tous les points, ou certains points déterminés, situés dans un rayon précis. Il détermine la valeur en sortie de chaque emplacement. Le krigeage est un processus multiple ; il comprend l’analyse statistique exploratoire des données, la modélisation des variogrammes, la création de la surface et éventuellement l’exploration de la surface de variance. L’outil Krigeage est particulièrement adapté aux cas où l’on sait qu’il existe dans les données une corrélation spatiale de distance ou une déviation directionnelle. Elle est souvent utilisée en science géologique et minière.
Formule de krigeage
Le krigeage est comparable à l’IDW dans la mesure où il déduit, par pondération des relevés existants, les valeurs probables d’emplacements non métrés. La formule générale utilisée par les deux méthodes d'interpolation consiste en une somme pondérée des données :

- où :
Z(si) = valeur mesurée à l’emplacement i
λi = pondération inconnue de la valeur relevée à l’emplacement i
s0 = emplacement de prévision
N = nombre de valeurs relevées
 
Avec la méthode IDW, la pondération λi dépend uniquement de la distance par rapport à l’emplacement de prévision. En revanche, avec la méthode de krigeage, les pondérations ne s’appuient pas seulement sur la distance entre les points relevés et l’emplacement de prévision, mais aussi sur l’organisation spatiale générale des points relevés. Pour utiliser la disposition spatiale dans la pondération, il faut quantifier l’auto-corrélation spatiale. Ainsi, dans le krigeage ordinaire, la pondération λi dépend d’un modèle ajusté selon les points relevés, de la distance par rapport à l’emplacement de prévision et des relations spatiales entre les valeurs relevées autour de celui-ci. Les sections suivantes expliquent comment la formule de krigeage générale est utilisée pour créer une carte de la surface de prévision et une carte de l'exactitude des prévisions.
Création d'une carte de surface de prévision par krigeage
Pour effectuer une prévision à l'aide de la méthode d'interpolation par krigeage, deux tâches sont nécessaires:
- La découverte des règles de dépendance.
 - La formulation des prévisions.
 
Pour réaliser ces deux tâches, le krigeage procède en deux étapes:
- Il crée les variogrammes et les fonctions de covariance pour évaluer les valeurs de dépendance statistique (appelée autocorrélation spatiale), dépendant du modèle d'autocorrélation (ajustage du modèle).
 - Il prédit les valeurs inconnues (formulation d'une prévision).
 
En raison de ces deux tâches distinctes, le krigeage a été décrit comme utilisant les données deux fois ; la première pour estimer l'autocorrélation spatiale des données et la seconde pour formuler les prévisions.
Variographie
L’adaptation d’un modèle ou modélisation spatiale, est également appelée analyse structurelle ou variographie. Dans la modélisation spatiale de la structure des points mesurés, commencez par un diagramme du semi-variogramme empirique, calculé avec l’équation suivante pour toutes les paires d’emplacements séparées par la distance h :
Semi-variogramme (distanceh) = 0,5*valeur moyenne((valeuri – valeurj)2)La formule implique de calculer la différence au carré entre les valeurs des emplacements couplés.
L’image ci-dessous illustre l’appariement d’un point (le rouge) avec tous les autres emplacements mesurés. Ce processus se poursuit pour chaque point mesuré.

La plupart du temps, chaque paire d’emplacements a une distance unique. De plus, il existe souvent plusieurs paires de points. Il devient alors impossible de tracer rapidement toutes les paires. Plutôt que de tracer chaque paire individuellement, les paires sont regroupées dans des groupes de décalage. Par exemple, calculez la semi-variance moyenne pour toutes les paires de points se trouvant à plus de 40 mètres et à moins de 50 mètres les unes des autres. Le semi-variogramme empirique représente un diagramme affichant les valeurs de semi-variogramme moyennes sur l'axe des y et la distance (ou décalage) sur l'axe des x (voir diagramme ci-dessous).

L’auto-corrélation quantifie un principe élémentaire de géographie : le fait que les choses qui sont plus proches se ressemblent davantage que les choses qui sont éloignées. Par conséquent, les paires d’emplacements plus proches (c’est-à-dire à l’extrême gauche sur l’axe des x du nuage semi-variogramme) devraient avoir des valeurs similaires (en bas de l’axe des y du nuage semi-variogramme). Plus les paires d'emplacements s'éloignent les unes des autres (déplacement vers la droite sur l'axe des x du nuage semi-variogramme), plus elles deviennent dissemblables et ont un écart mis à l'équerre plus important (déplacement vers le haut de l'axe des y du nuage semi-variogramme).
Adapter un modèle au semi-variogramme empirique
L’étape suivante consiste à ajuster un modèle selon les points formant le semi-variogramme empirique. La modélisation des semi-variogrammes est une étape clé située entre la description spatiale et la prévision spatiale. Le krigeage est principalement utilisé dans la prévision des valeurs attributaires des emplacements non échantillonnés. Le semi-variogramme empirique donne des informations sur l’autocorrélation spatiale de jeux de données. Toutefois, il n’indique pas les directions et distances possibles. Pour cette raison, et pour s’assurer que les prévisions de krigeage présentent des écarts de krigeage positifs, il est nécessaire d’ajuster le modèle (c’est-à-dire, une fonction ou courbe continue) au semi-variogramme empirique. Dans l'abstrait, cette étape est similaire à une analyse de régression dans laquelle une ligne ou courbe continue est ajustée aux points de données.
Pour ajuster un modèle au semi-variogramme empirique, sélectionnez une fonction comme modèle, par exemple, une fonction de type sphérique qui s’élève dans un premier temps, puis se stabilise pour des distances plus grandes, au-delà d’une certaine portée (voir l’exemple de modèle sphérique ci-dessous). Les points du semi-variogramme empirique varient par rapport au modèle. Certains points se trouvent au-dessus de la courbe du modèle et certains en dessous. Toutefois, si vous ajoutez la distance séparant chaque point se trouvant en dessus de la ligne et ajoutez la distance séparant chaque point se trouvant en dessous de la ligne, les valeurs devraient être similaires. Il existe une grande sélection de modèles de semi-variogramme.
Modèles de semi-variogramme
L’outil Krigeage propose les fonctions suivantes pour modéliser le semi-variogramme empirique :
- Circulaire
 - Sphériques
 - Exponentiel
 - Gaussien
 - Linéaire
 
Le modèle sélectionné influence la prévision des valeurs inconnues, plus particulièrement lorsque la forme de la courbe près de l’origine diffère de façon significative. Plus la courbe décline près de l’origine, plus les voisins les plus proches influenceront la prévision. En conséquence, la surface en sortie sera moins lisse. Chaque modèle est conçu de façon à s'adapter plus précisément à différents types de phénomènes.
Le diagramme ci-dessous illustre deux modèles courants et explique la différence entre les deux fonctions :
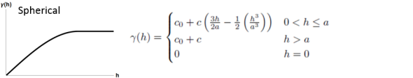
Exemple de modèle sphérique
Ce modèle indique une réduction progressive de l’auto-corrélation spatiale (équivalant à une augmentation de semi-variance) jusqu’à une certain distance, au-delà de laquelle l’auto-corrélation est de 0. Le modèle sphérique est l'un des modèles les plus fréquemment utilisés.

Exemple de modèle exponentiel
Ce modèle est utilisé lorsque l’auto-corrélation spatiale se réduit exponentiellement avec l’accroissement de la distance. Ici, l’auto-corrélation ne disparaît complètement qu’à une distance infinie. Le modèle exponentiel est également fréquemment utilisé. Le choix d'un modèle se fait selon l'autocorrélation spatiale des données et la connaissance préalable du phénomène.

D’autres modèles mathématiques sont illustrés ci-dessous.
Présentation du semi-variogramme: portée, seuil et pépite
Comme vu précédemment, le semi-variogramme illustre l’auto-corrélation spatiale des points d’échantillonnage mesurés. Par principe géographique (les objets rapprochés se ressemblent plus), les points mesurés qui sont proches auront une différence mise à l’équerre moindre que les points plus éloignés. Une fois que chaque paire d’emplacements est tracée (après avoir été jetée), un modèle leur est appliqué. La portée, le seuil et la pépite sont couramment utilisés pour décrire ces modèles.
Portée et seuil
Lorsque vous regardez un modèle de semi-variogramme, vous remarquez qu’à une certaine distance le modèle se stabilise. La distance à laquelle le modèle commence à s’aplanir est appelée la portée. Les emplacements d'échantillons séparés par une distance inférieure à la portée sont auto-corrélés spatialement alors que les emplacements séparés par une distance supérieure à la portée ne le sont pas.

La valeur à laquelle le semi-variogramme atteint la portée (la valeur de l’axe des y) est appelée le seuil. Un seuil partiel correspond au seuil moins la pépite. La pépite est décrite à la section suivante.
Pépite
Théoriquement, à une distance de séparation nulle (par exemple, décalage = 0), la valeur de semi-variogramme est 0. Toutefois, à une distance de séparation infiniment petite, le semi-variogramme présente souvent un effet pépite, qui est une valeur supérieure à 0. Si le modèle de semi-variogramme intercepte l’axe des y à 2, alors la pépite est 2.
L’effet pépite peut être attribué à des erreurs de mesure ou à des sources de variations spatiales à une distance inférieure à l’intervalle d’échantillonnage (ou aux deux). Une erreur de mesure est le résultat d’une erreur inhérente à l’appareil de mesure. Les phénomènes naturels peuvent varier, dans l’espace, à des échelles diverses. Les variations à de petites échelles inférieures à la distance d’échantillonnage apparaîtront dans le cadre de l’effet pépite. Avant de rassembler des données, il est important de bien comprendre les échelles de variations spatiales qui vous intéressent.
Détermination d'une prévision
Après avoir découvert une dépendance ou auto-corrélation dans vos données (voir la section Variographie ci-dessus) et terminé le traitement du premier jeu de données (à l’aide des informations spatiales contenues dans les données pour calculer les distances et modéliser l’auto-corrélation spatiale), vous être prêt à effectuer une prévision grâce au modèle ajusté. Par la suite, le semi-variogramme empirique est mis de côté.
Vous pouvez à présent utiliser les données pour formuler des prévisions. Comme dans l’interpolation IDW, le krigeage génère des pondérations à partir des valeurs relevées avoisinantes pour prédire des emplacements non mesurés. Comme avec l’interpolation IDW, les valeurs mesurées les plus proches des emplacements non mesurés ont l’influence la plus forte. Toutefois, les facteurs de pondération du krigeage pour les points relevés avoisinants sont plus sophistiqués que ceux du IDW. L’IDW utilise un algorithme simple basé sur la distance. Les facteurs de pondération de krigeage, eux, proviennent d’un semi-variogramme développé en examinant les données de nature spatiale. Pour créer une surface continue du phénomène, des prévisions sont effectuées pour chaque emplacement (centres de cellule) dans la zone d'étude en fonction du semi-variogramme et de la disposition spatiale des valeurs mesurées se trouvant à proximité.
Méthodes de krigeage
Il existe deux méthodes de krigeage : ordinaire et universel.
Le krigeage ordinaire est la méthode la plus générale et la plus couramment utilisée. Il s’agit également de la méthode par défaut. Elle part du principe que la moyenne constante est inconnue. Il s'agit là d'une hypothèse a priori valide, à moins qu'une raison scientifique aille à l'encontre de cette dernière.
Le krigeage universel part du principe qu’il existe une tendance prépondérante dans les données (par exemple, un vent dominant) et qu’elle peut être modélisée par une fonction déterministe, un polynôme. Le polynôme est soustrait aux points initialement mesurés et l’auto-corrélation est modélisée à partir des erreurs aléatoires. Une fois que le modèle est ajusté selon les erreurs aléatoires, avant d’effectuer une prévision, le polynôme est réinséré dans les prévisions pour que les résultats soient significatifs. Le krigeage universel n'est à utiliser que lorsque vous savez qu'il existe une tendance dans les données et que vous pouvez en donner une justification scientifique.
Diagrammes de semi-variogramme
Le krigeage est une procédure complexe qui nécessite davantage de connaissances en statistiques spatiales que ce qui est décrit dans cette rubrique. Avant d’utiliser le krigeage, vous devez avoir une bonne compréhension des ses principes de base et évaluer la pertinence de vos données en vue d’une modélisation via cette technique. Si vous ne maîtrisez pas bien cette procédure, il est fortement recommandé de consulter les références répertoriées à la fin de cette rubrique.
Le krigeage est basé sur la théorie des variables régionalisées, selon laquelle la variation spatiale dans le phénomène représenté par les valeurs z est statistiquement homogène sur toute la surface (par exemple, le même motif de variation peut être observé à tous les emplacements de la surface). Cette hypothèse d'homogénéité spatiale est l'élément central de la théorie des variables régionalisées.
Modèles mathématiques
Vous trouverez ci-dessous les équations et les formes générales des modèles mathématiques utilisés pour décrire le semi-variance.





Bibliographie
Burrough, P. A. Principles of Geographical Information Systems for Land Resources Assessment. New York: Oxford University Press. 1986.
Heine, G. W. "A Controlled Study of Some Two-Dimensional Interpolation Methods." COGS Computer Contributions 3 (no. 2): 60–72. 1986.
McBratney, A. B., and R. Webster. "Choosing Functions for Semi-variograms of Soil Properties and Fitting Them to Sampling Estimates." Journal of Soil Science 37: 617–639. 1986.
Oliver, M. A. "Kriging: A Method of Interpolation for Geographical Information Systems." International Journal of Geographic Information Systems 4: 313–332. 1990.
Press, W. H., S. A. Teukolsky, W. T. Vetterling, and B. P. Flannery. Numerical Recipes in C: The Art of Scientific Computing. New York: Cambridge University Press. 1988.
Royle, A. G., F. L. Clausen, and P. Frederiksen. "Practical Universal Kriging and Automatic Contouring." Geoprocessing 1: 377–394. 1981.
Rubriques connexes
Vous avez un commentaire à formuler concernant cette rubrique ?