L’outil Calculer des taux calcule différents taux. Vous pouvez l’utiliser pour calculer des pourcentages, des ratios, des taux d’incidence et des taux lissés. Vous pouvez calculer des taux lissés à l’aide des méthodes suivantes : Estimation bayésienne empirique globale, Estimation bayésienne empirique locale, Moyenne pondérée locale ou Médiane pondérée locale.
La méthode Taux brut peut être utilisée pour calculer des pourcentages, des ratios et des taux d’incidence. Toutefois, si les entités présentent un nombre ou une population faible, une méthode de lissage sera plus appropriée. Les méthodes de lissage utilisent les informations des voisins spatiaux d’une entité ou d’un taux de référence pour ajuster le taux brut de chaque entité. L’outil inclut les méthodes de lissage suivantes :
- Estimation bayésienne empirique globale : ajuste l’estimation du taux brut de chaque entité par rapport à un taux de référence global. La taille de la population de l’entité a un impact sur le degré d’ajustement. Utilisez cette option si vous pensez qu’un risque sous-jacent constant existe dans toutes les entités.
- Estimation bayésienne empirique locale : ajuste l’estimation du taux brut de chaque entité par rapport à un taux de référence local. Utilisez cette option si vous pensez qu’il existe une variabilité spatiale du risque.
- Moyenne pondérée locale : détermine le taux de chaque entité en utilisant le taux moyen pondéré de son voisinage.
- Médiane pondérée locale détermine le taux de chaque entité en utilisant le taux médian pondéré de son voisinage.
Applications possibles
Des taux sont calculés dans les situations suivantes :
- Calculez des pourcentages simples. Exemple : pourcentage des personnes dans la vie active qui sont au chômage.
- Calculez des ratios. Par exemple, le ratio femmes/hommes dans chaque pays.
- Calculez des taux d’incidence. Par exemple, les taux de cancer de l’œsophage chez les femmes. Ce taux est une estimation de la probabilité d’observer un événement par habitant dans la population au cours d’une période donnée. Il représente la probabilité qu’un événement se produise sur cette période, pour une personne choisie au hasard dans cette population. Dans le présent cas de figure, le taux correspond à un nombre compris entre 0 et 1 et le total est un sous-ensemble des personnes formant la population.
- Permet de mesurer l’intensité de l’occurrence d’un événement selon une unité de référence. Par exemple, l’intensité des tweets publiés par personne au cours de l’année 2020. Dans ce cas particulier, le taux peut dépasser un étant donné que les nombres (d’événements) ne sont pas nécessairement un sous-ensemble de la population.
Concepts de contextualisation
L’outil Calculer des taux calcule un taux à l’aide de l’une des méthodes suivantes : Taux brut, Estimation bayésienne empirique globale, Estimation bayésienne empirique locale, Moyenne pondérée locale ou Médiane pondérée locale. Le taux brut est la méthode la plus simple et calcule le rapport entre les décomptes d’un événement et la population sur une période donnée.
Par exemple, pour étudier les taux de mortalité infantile, vous pouvez commencer votre analyse en utilisant la méthode Taux brut afin de calculer un ratio simple. Le graphique ci-dessous représente la mortalité infantile de 728 entités spatiales en divisant le nombre de décès infantiles survenus en 2020 par le nombre total d’enfants nés en 2020. Les données incluent quelques grandes agglomérations éparpillées parmi de nombreux petits villages. La taille de la population et le nombre de naissances varient considérablement dans les entités spatiales.

Le graphique se caractérise par une variabilité importante des taux lorsque le nombre de naissances est faible et une variabilité relativement faible lorsque le nombre de naissances est élevé. Dans les zones avec moins de 100 naissances par an, le taux varie entre 0 (la valeur la plus faible possible) et 0,20. Une estimation du taux de mortalité infantile de 0,20, soit 2 décès pour 10 enfants nés, est inédite même dans les régions les plus pauvres du monde. En revanche, aucun taux au-dessous de 0,02 ou au-dessus de 0,08 n’apparaît dans les zones comptant au moins 1 000 naissances. Ces chiffres suggèrent que des taux de mortalité infantile élevés sont plus probables dans les zones moins peuplées. Or, la variance importante des taux dans les petites zones explique principalement ce phénomène, ce qui aboutit à un taux moins fiable que celui calculé pour les régions plus peuplées.
La variabilité plus importante est due à une extrême sensibilité du taux à la taille de la population, plutôt qu’aux différences réelles des probabilités de décès dans les zones. Cette question est liée à ce que l’on appelle le problème des petits nombres. Le problème des petits nombres se pose à chaque fois que vous calculez des pourcentages, des ratios, des proportions ou des taux pour des zones géographiques dans lesquelles la population est faible ou l’événement est rare. Dans ces cas, de petites fluctuations aléatoires dans le décompte des événements peuvent entraîner de grandes fluctuations dans les valeurs de taux résultantes. Dans l’exemple précédent, 15 zones accueillaient moins de 30 naissances et ne déploraient aucun décès. Si un seul décès apparaissait dans de telles zones, le taux bondirait de 0 à une valeur comprise entre 0,05 et 0,42 (soit un risque de mortalité de 42 pour cent).
Lorsque vous calculez des taux, vous cherchez à comprendre comment la probabilité des événements, en l’occurrence la mortalité infantile, varie dans l’espace. Néanmoins, une partie de la variation du taux brut est provoquée par des fluctuations qui ne sont pas associées à la probabilité sous-jacente de l’événement. Cette variation est plus forte pour les entités comportant de petites populations, ce qui implique une moindre fiabilité des taux calculés par rapport aux entités avec une population nombreuse. Pour pallier cette limitation de la méthode Taux brut, vous pouvez utiliser l’une des autres méthodes de calcul des taux disponibles dans l’outil Calculer des taux.
Les méthodes de calcul des taux Estimation bayésienne empirique globale et Estimation bayésienne empirique locale agissent toutes deux sur la variabilité des taux bruts des entités présentant une petite population en ajustant le taux brut de chaque entité pour le rapprocher d’un taux de référence. L’ampleur de l’ajustement dépend de la taille de la population : la différence entre l’estimation du taux brut et l’estimation bayésienne empirique du taux d’une grande population est minime, alors que les ajustements sont plus notables pour une population plus petite.
En savoir plus sur l’estimation bayésienne empirique globale
En savoir plus sur l’estimation bayésienne empirique locale
Les méthodes Moyenne pondérée locale, Médiane pondérée locale et Estimation bayésienne empirique locale appliquent un lissage spatial pour calculer les taux. Le taux relatif à chaque entité se calcule à l’aide du taux de son voisinage. Une fois les voisins et pondérations des voisins de chaque entité identifiés, les taux des entités sont calculés à l’aide du paramètre Méthode de calcul des taux. Le taux relatif à chaque entité est l’un des taux suivants :
- Moyenne pondérée locale : taux moyen pondéré de son voisinage
- Médiane pondérée locale : taux médian pondéré de son voisinage
Entrées d’outils
L’outil inclut plusieurs paramètres pour définir et configurer le taux.
Champs relatifs au taux
Le paramètre Champs relatifs au taux spécifie les champs permettant de calculer le taux. Le paramètre inclut une valeur Champ de nombre qui indique le champ dans la couche en entrée comportant le total des événements et une valeur Champ de population qui indique le champ en entrée comportant les données relatives à la population correspondant au champ de nombre sélectionné.
Vous pouvez calculer un ou plusieurs taux. Pour calculer plusieurs taux, indiquez plusieurs valeurs dans Champ de nombre et Champ de population. Par exemple, dans une classe d’entités qui contient un champ comptabilisant les décès liés au cancer en 2014, 2020 et 2024 et un champ de population pour ces mêmes années, vous pouvez calculer trois taux de décès liés au cancer. Lorsque plusieurs taux sont calculés, les valeurs des paramètres Méthode de calcul des taux et Multiplicateur des taux s’appliquent au calcul de chaque taux.
Méthode de calcul des taux
Le paramètre Méthode de calcul des taux indique la méthode utilisée pour calculer les taux.
Taux brut
Le calcul du taux brut est le suivant :

où ri désigne le taux brut, ni la population et Yi l’effectif total de l’entité spatiale ith. Le taux brut est calculé pour chaque entité. Néanmoins, les entités avec un total inférieur à zéro ou une population inférieure ou égale à zéro se voient attribuer un taux nul. Vous pouvez évaluer la fiabilité de chaque taux brut estimé à l’aide des champs Confidence interval- upper 95%, Confidence interval- lower 95% et Reliable qui sont inclus dans la table ou la classe d’entités en sortie. Si de nombreuses entités présentent des valeurs de fiabilité ou des intervalles de confiance élevés, préférez une autre méthode de calcul des taux.
Estimation bayésienne empirique globale
La méthode de calcul des taux Estimation bayésienne empirique globale estime les taux en calculant la moyenne pondérée du taux brut et d’un taux de référence. La méthode est calculée comme suit :

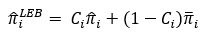
où i désigne l’entité spatiale,
est l’estimation bayésienne empirique globale du taux, Ci est une pondération dont la valeur est comprise entre 0 et 1,
est l’estimation du taux brut de l’entité i et
est le taux de référence.
Le taux de référence est le taux moyen de toutes les entités. Le taux de référence est calculé en divisant la somme des nombres de toutes les entités par la somme des populations de toutes les entités comme suit :

où
désigne le taux de référence, Yi représente la population de l’entité ith et ni le nombre correspondant. La pondération, Ci varie d’une entité à une autre et est impactée par la taille de la population de l’entité. Si une entité présente une grande population, la pondération s’approche fortement de 1 et l’estimation bayésienne empirique globale du taux de cette entité est presque identique à l’estimation de son taux brut. Si la population est petite, le taux brut diminue pour se rapprocher du taux de référence car la pondération, Ci, est inférieure à 1, et l’estimation bayésienne empirique globale du taux de l’entité est une moyenne pondérée du taux brut et du taux de référence.
Si la valeur du paramètre Méthode de calcul des taux est définie sur Estimation bayésienne empirique globale ou Estimation bayésienne empirique locale, vous devez également spécifier une valeur pour le paramètre Distribution des probabilités. La distribution des probabilités désigne la distribution qui est censée modéliser les valeurs des nombres observés. Le paramètre Distribution des probabilités inclut deux options : Poisson et Binomiale. L’option par défaut est la distribution Poisson, une distribution largement utilisée pour la modélisation des taux. Cette option permet d’estimer l’intensité ou la probabilité de l’occurrence d’un événement. Le modèle de distribution des probabilités binomiale suppose les points suivants :
- Le nombre d’événements (numérateur) est un sous-ensemble de la population (dénominateur).
- Chaque événement est indépendant les uns des autres.
- Tous les événements ont la même probabilité de se produire.
Si l’une de ces hypothèses n’est pas vérifiée, la distribution binomiale n’est pas un modèle adapté. Il est recommandé de sélectionner la distribution binomiale seulement si ces hypothèses sont satisfaites et si la probabilité de l’événement n’est pas rare.
Estimation bayésienne empirique locale
L’estimation bayésienne empirique locale du taux d’une entité est la moyenne pondérée du taux brut de l’entité focale et du taux moyen pondéré de son voisinage. L’estimation bayésienne empirique locale du taux est calculée comme suit :

où i désigne l’entité d’intérêt,
est l’estimation bayésienne empirique locale du taux, Ci est la pondération,
est le taux moyen pondéré de l’entité i et de ses voisins et
est le taux brut de l’entité focale.
Le taux moyen du voisinage d’une entité,
, est déterminé par les valeurs des paramètres Type de voisinage et Schéma de pondération local. Le paramètre Type de voisinage spécifie la méthode permettant d’identifier les voisins de chaque entité. Chaque voisin se voit attribuer une pondération basée sur la valeur du paramètre Type de voisinage ou du paramètre Structure de pondération locale. L’outil calcule ensuite le taux moyen pondéré local de chaque voisinage comme suit :

où i désigne l’entité d’intérêt,
est le taux moyen pondéré local de l’entité i, j est le voisin, wij est la pondération du voisin j et
est l’estimation du taux brut du voisin j.
Moyenne pondérée locale
La méthode de calcul des taux Moyenne pondérée locale estime le taux d’une entité en calculant le taux moyen pondéré de son voisinage. Pour estimer les taux moyens pondérés locaux, l’outil applique d’abord la valeur du paramètre Type de voisinage afin d’identifier les voisins de chaque entité. Chaque voisin reçoit ensuite une pondération basée sur la valeur du paramètre Type de voisinage ou du paramètre Structure de pondération locale. Le taux moyen pondéré local de chaque entité est ensuite calculé comme suit :

où i désigne l’entité d’intérêt,
est le taux moyen pondéré local de l’entité i, j est le voisin, wij est la pondération du voisin j et
est l’estimation du taux brut du voisin j.
Médiane pondérée locale
La méthode de calcul des taux Médiane pondérée locale estime le taux d’une entité en calculant le taux médian pondéré de son voisinage.
Méthodes locales
Les méthodes locales utilisent les voisins d’une entité pour estimer son taux. Les voisins sont identifiés à l’aide de la valeur du paramètre Type de voisinage, puis une pondération leur est attribuée à chacun.
En savoir plus sur les types de voisinage
Les poids des voisins peuvent être non pondérés ou calculés à l’aide d’une fonction de pondération géographique (noyau). Le paramètre Structure de pondération locale prend en charge les options de pondération suivantes : Non pondéré, Gaussien et Bicarré. Utilisez la structure de pondération qui reflète le mieux l’influence du nombre d’événements d’un voisin sur le nombre d’événements d’une entité focale. Si tous les voisins ont une influence sur l’entité focale, quelle que soit la distance, utilisez l’option Non pondéré.
Si l’influence d’un voisin dépend de la distance, les voisins les plus éloignés de l’entité focale doivent avoir une pondération inférieure et ont moins d’influence sur le taux estimé de l’entité focale. Les voisins qui sont plus proches de l’entité focale doivent se voir attribuer une pondération supérieure et pèsent plus fortement sur le taux estimé. Dans ce cas, utilisez l’option Gaussien ou Bicarré. Ces options calculent les pondérations à l’aide d’un noyau, qui est une fonction qui détermine à quelle vitesse les pondérations diminuent à mesure que les distances augmentent. Les options de noyau Gaussien et Bicarré attribuent une pondération égale à un à l’entité focale et réduisent progressivement la pondération, à mesure qu’augmente la distance par rapport à l’entité focale. Lorsque l’on compare une structure de pondération bicarrée à une structure de pondération gaussienne en utilisant les mêmes spécifications de voisinage, les pondérations diminuent plus rapidement avec la méthode bicarrée.
Si l’option Gaussien ou Bicarré est spécifiée, vous devez également configurer le paramètre Bande passante de noyau. Définissez une bande passante de noyau appropriée en fonction de vos données. Si vous ne fournissez aucune donnée, une valeur par défaut est estimée.
En savoir plus sur le fonctionnement de l’outil Densité de noyau
Multiplicateur de taux
Chaque taux est une valeur comprise entre 0 et 1. Si la taille de la population est grande ou si l’événement d’intérêt est rare, les taux obtenus sont bas. Les taux incluent de nombreux zéros de début, ce qui peut rendre leur interprétation difficile. Le paramètre Multiplicateur de taux est une valeur entière qui met à l’échelle les taux de sorte qu’ils soient plus parlants et plus faciles à interpréter. Définir le multiplicateur de taux sur 100 entraîne le calcul d’un pourcentage. En règle générale, il convient d’utiliser la valeur de taux la plus faible pour déterminer le multiplicateur de taux. Par exemple, si le taux le plus faible comporte 3 zéros de début, la valeur Multiplicateur de taux doit être égale à supérieure à 10 000. Le taux le plus faible différent de 0 sera alors supérieur à 1.
Lorsque vous définissez la valeur Multiplicateur de taux, les taux correspondent au nombre attendu pour les unités de multiplicateur de taux. Par exemple, si vous calculez les taux de décès liés au cancer du pancréas et définissez la valeur 100 000 pour Multiplicateur de taux, les taux résultants correspondront au nombre attendu pour 100 000 personnes. Si le taux d’une entité est 144, cela signifie que 144 décès liés au cancer du pancréas sont attendus par an pour chaque groupe de 100 000 personnes.
Sorties de l’outil
L’outil produit une table ou une classe d’entités en sortie, un groupe de couches en sortie et des messages de géotraitement.
Entités ou table en sortie
Classe d’entités ou table en sortie qui inclut plusieurs champs.
Taux excédentaire
Le taux Excess Rate compare le taux d’une entité au taux moyen de toutes les entités. Le taux excédentaire se calcule en divisant le taux observé d’une entité par le taux moyen de toutes les entités. Le taux excédentaire peut correspondre à toute valeur positive supérieure ou égale à zéro. Les valeurs de taux excédentaire proches de un indiquent que le taux estimé est analogue au taux moyen. Si le taux excédentaire est inférieur à un, le taux estimé d’une entité est inférieur au taux moyen. Si le taux excédentaire est supérieur à un, le taux estimé d’une entité est supérieur au taux moyen. Par exemple, si le taux excédentaire d’une entité est 1,25, cela signifie que son taux est supérieur de 25 % au taux moyen. À l’inverse, si le taux excédentaire d’une entité est 0,75, cela signifie que son taux est inférieur de 25 % au taux moyen.
Taux standardisé
Le champ Standardized Rate montre dans quelle mesure le taux d’une entité s’écarte du taux moyen. Le calcul du taux standardisé est le suivant :

où z désigne le taux standardisé,
l’estimation du taux,
l’estimation du taux moyen et
l’écart type. Les entités avec des taux standardisés négatifs possèdent des taux inférieurs au taux moyen. Les entités avec des taux standardisés positifs possèdent des taux supérieurs au taux moyen. Plus le taux standardisé est négatif, plus il chute sous la moyenne. Plus le taux standardisé est positif, plus il s’écarte de la moyenne et "s’envole". Les entités avec des taux standardisés supérieurs à 3 ou inférieurs à -3 sont considérées comme des points aberrants.
Intervalles de confiance
Si la valeur du paramètre Méthode de calcul des taux est définie sur Taux brut, la table ou la classe d’entités en sortie inclut un champ Confidence Interval – Upper 95% et un champ Confidence Interval- Lower 95%. L’intervalle de confiance de 95 pour cent est calculé à l’aide de la méthodologie proposée par le Centre de contrôle et de prévention des maladies (CDC) des Statistiques en matière de santé du centre national des États-Unis. Si le nombre total d’une entité est supérieur ou égal à 100, une approximation gaussienne est adaptée et a pour effet de calculer l’intervalle de confiance de 95 pour cent pour le taux brut de la façon suivante :

où ri représente le taux brut et Yi l’effectif total.
Si le nombre est inférieur à 100, l’intervalle de confiance de 95 pour cent est calculé à l’aide de la méthode proposée par K. Ulm dans A simple method to calculate the confidence interval of a standardized mortality ratio (SMR). Dans ce cas, l’approximation gaussienne de Poisson ne convient pas ; une identité entre les probabilités cumulatives de Poisson et la distribution du khi carré est utilisée. Considérons qgamma(p,x) représentant le quantile associé à la probabilité p d’une distribution gamma avec le paramètre de forme x et le paramètre de taux 1. L’intervalle de confiance de 95 pour cent se calcule de la manière suivante :

Fiable
Les valeurs dans le champ Reliable reflètent la fiabilité de l’estimation du taux. Ce champ est inclus dans la table ou les entités en sortie lorsque la valeur du paramètre Méthode de calcul des taux est définie sur Taux brut. Le calcul suit la méthode décrite par le CDC (Centre de contrôle et de prévention des maladies) dans son manuel de référence. Si la valeur fiable est élevée, l’estimation du taux brut n’est pas précise et le taux brut est considéré comme non fiable. À partir de 1989, le CDC du centre national des statistiques en matière de santé a considéré qu’un taux brut reposant sur un nombre inférieur à 20 n’est pas fiable d’un point de vue statistique. Cela équivaut à une valeur fiable supérieure ou égale à 22,94.
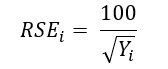
La fiabilité est mesurée grâce à l’erreur standard relative (RSE), également appelée coefficient de variation. L’erreur standard relative (RSE) est le ratio entre l’erreur standard du taux et l’estimation du taux multiplié par 100. Le calcul de l’écart du taux est le suivant :

En supposant un total différent de zéro, l’erreur standard relative est calculée comme suit :

Le RSE dépend unique des nombres (Yi). Bien que la formule de l’erreur standard relative (RSE) ne dépende pas directement de la taille de la population, les populations nombreuses présentent généralement des nombres plus élevés. Il existe donc un effet indirect.
Nombre de voisins non nuls
Le champ Number of Non-Null Neighbors répertorie le nombre de voisins, entité focale comprise, qui ne comportent pas de taux nul. Les entités avec une valeur négative ou nulle dans le paramètre Champ de population ou Champ de nombre ont un taux nul. La méthode de lissage utilise le voisinage d’une entité pour déterminer le taux de cette entité. Le champ Number of Non-Null Neighbors révèle le nombre dresse le nombre de voisins utilisés pour lisser le taux de l’entité focale. Ce champ est inclus dans la table ou la classe d’entités en sortie si la valeur du paramètre Méthode de calcul des taux est définie sur Moyenne pondérée locale, Médiane pondérée locale ou Estimation bayésienne empirique locale.
Renseigner la valeur manquante
Le champ Fill Missing Value est un champ booléen indiquant si un taux a été imputé pour l’entité. Les entités avec une valeur négative ou nulle dans le paramètre Champ de nombre ou dans le paramètre Champ de population ont un taux nul. Toutefois, si la valeur du paramètre Méthode de calcul des taux est définie sur Moyenne pondérée locale ou Médiane pondérée locale, un taux peut être imputé pour une entité dont le taux est nul. Si l’entité présente des voisins non nuls, le taux nul est remplacé par l’estimation de la moyenne pondérée locale ou l’estimation de la médiane pondérée locale de son voisinage.
Groupe de couches et symbologie
L’outil ajoute un groupe de couches à la fenêtre Contents (Contenu) et une sous-couche pour chaque taux. Si plus de 10 taux sont calculés, seuls les 10 premiers seront ajoutés en tant que sous-couches.
Chaque sous-couche est une carte d’écart type. Les taux sont divisés en deux groupes en fonction de leur écart type. Chaque groupe porte une étiquette indiquant l’intervalle d’un écart type et, entre parenthèses, l’intervalle du taux correspondant. Le dégradé de couleurs se compose de trois couleurs : vert, blanc au milieu et marron. Le dégradé de couleurs est centré autour du taux moyen. Les entités en vert sont associées à des taux inférieurs au taux moyen. Les entités en marron sont associées à des taux supérieurs au taux moyen. Les entités en teintes de marron les plus foncées (+3 écarts types) et de vert les plus foncées (-3 écarts types) sont des valeurs aberrantes.
Messages de géotraitement
Les messages de géotraitement fournissent un résumé des entités et des taux. Les messages incluent une section déroulante pour chaque taux calculé. Chaque section comporte une table Résumé des taux. Si la valeur du paramètre Méthode de calcul des taux est définie sur Moyenne pondérée locale, Médiane pondérée locale ou Estimation bayésienne empirique locale, chaque section inclut également une table Résumé des taux des voisinages.
Résumé des taux
Si la valeur du paramètre Méthode de calcul des taux n’est pas définie sur Taux brut, la table Résumé des taux inclut une colonne récapitulant la méthode de calcul des taux sélectionnée et une colonne supplémentaire récapitulant les taux bruts. Utilisez ces colonnes pour comparer les résultats de la méthode de calcul des taux sélectionnée aux résultats de la méthode Taux brut. La table Résumé des taux inclut les valeurs Minimum, Maximum, Médiane, Moyenne et Écart type des taux. Si la valeur du paramètre Méthode de calcul des taux est définie sur Moyenne pondérée locale ou Médiane pondérée locale, la table inclut une ligne Entités avec une valeur de taux nulle ou Entités avec des valeurs renseignées. La ligne Entités avec une valeur de taux nulle recense le nombre d’entités ayant un taux est nul. La ligne Entités avec des valeurs renseignées recense le nombre d’entités dont le taux est imputé. Au départ, ces entités avaient un taux nul. Néanmoins, comme leur voisinage incluait des valeurs de taux non nulles, son taux leur a été imputé.

Résumé des taux des voisinages
Si la valeur du paramètre Méthode de calcul des taux est définie sur Moyenne pondérée locale, Médiane pondérée locale ou Estimation bayésienne empirique locale, chaque section inclut également une table Résumé des taux des voisinages récapitulant tous les voisinages. Le tableau inclut les valeurs Minimum, Maximum, Médiane et Moyenne du taux de voisinage, ainsi que le nombre de la valeur Entités sans voisin.

Ressources supplémentaires
Consultez les ressources supplémentaires suivantes :
- Anselin, L., N. Lozano et J. Koschinsky. 2006."Rate Transformations and Smoothing"
- Brillinger, D. R. 1986. "A biometrics invited paper with discussion: the natural variability of vital rates and associated statistics." Biometrics, 693-734. https://pubmed.ncbi.nlm.nih.gov/3814721/
- Carlin, B.P. et T.A. Louis. 1997. "Bayes and empirical Bayes methods for data analysis." Statistics and Computing, 153- 154. https://doi.org/10.1023/A:1018577817064
- Marshall, R.J. 1991. "Mapping disease and mortality rates using empirical Bayes estimators." Journal of the Royal Society Series C: (Applied Statistics), 283-294. https://doi.org/10.2307/2347593
- Martuzzi, M. et P. Elliott. 1996. "Empirical Bayes estimation of small prevalence of non-rare conditions." Statistics in Medicine, 15(17-18) 1867-1873. https://doi.org/10.1002/(SICI)1097-0258(19960915)15:17<1867::AID-SIM398>3.0.CO;2-2
- National Center for Health Statistics. 2019. Technical appendix from vital statistics of United States 1999 mortality
- Ulm, K. 1990. "Simple method to calculate the confidence interval of a standardized mortality ratio (SMR)." American Journal of Epidemiology, 131(2) 373-375. https://doi.org/10.1093/oxfordjournals.aje.a11507
Vous avez un commentaire à formuler concernant cette rubrique ?